View More Articles
| Introduction | Trophy Bass Proportions | Model Development | Results | Well Known Bass | Conclusions |

What does this mean, one might ask? In order to understand, one must look into the math used in developing weight estimation models. Typically, models are developed on a large sample of fish in a broad size range in order to come up with an overall model. If the density of the fish and shape dimensions, i.e. L/W and L/G, remain somewhat constant across the sample population, this method can be accurate. With largemouth bass though, this is not true.

Largemouth bass vary not only in density, but also in their shape parameters. This is evidenced by the fat watermelon shaped fish caught in California versus the long, more slender fish caught in Florida. In order to accurately estimate the weight of a bass from these two different locations, two different models would have to be developed. The reason for this lies in the inherent fit parameters used in these models.

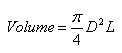
Model development starts out theoretically by developing a pseudo-volumetric equation. This equation is almost always based on a right circular cylinder, the volume which is described by the formula:

 

where, D equals diameter and L equals length. In order to transform this equation into something useful for fish, one takes the diameter term and puts it in terms of circumference, or Girth as for a bass. This transformation leads to the expression:

(2)

Now, in order to make this volume expression relate to weight or, more correctly mass, one must multiply volume by density, r, as shown in equation 3. Once this is done, an expression for weight has theoretically been developed.

(3)

In order to make this expression work for a fish, which does not possess the dimensions of a right circular cylinder, a shape factor, k, must be introduced. By combining the shape factor, along with the density, and p, one arrives at the development of an overall fit parameter, P. Equations 4 and 5 illustrate both.

(4)

(5)

Length, girth, and weight data from a number of fish are then tabulated and the new formula for weight estimation is used, by initially guessing at a fit parameter, in order to estimate the weight of the fish. Once all the calculations have been completed, a least squares curve fit is conducted which automatically adjusts the fit parameter in order to make the modeled weights converge on the actual measured weights. The most widely used fit parameter for fish is 800 while, just recently, the IGFA has adopted the value of 927 for largemouth bass.

Next Page: Results ->
 
Copyright © Robert Belloni 1997-2012. All Rights Reserved.
This material may not be published, broadcast, rewritten, or redistributed without express written consent.
Login /